| 분류 | 일반공공행정 > 일반행정 > 일반행정지원(지적) > 지적측량기준점현황 | ||
|---|---|---|---|
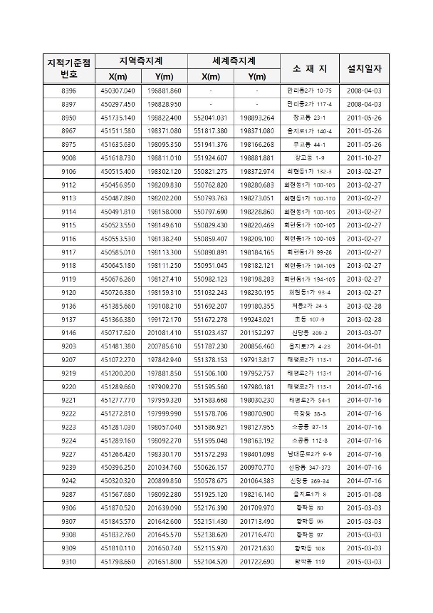
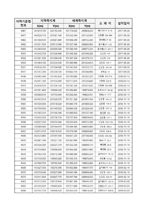
| 제목 | 지적기준점성과 폐기고시 | ||
| 공표부서 | 부동산정보과 | 공표일 | 2020-12-02 |
| 담당자 | 조용준 | 전화번호 | 02-3396-5923 |
| 내용 |
![]() ![]() ![]() ![]()
|
||
| 바로가기 | |||
| 첨부문서 | |||
본 공공저작물은 공공누리 출처표시+상업적 이용금지+변경금지 조건에 따라이용 할 수 있습니다.
| 이전글 | 결혼중개업 현황 공시(2020.11.30. 기준) |
|---|---|
| 다음글 | 상세주소 직권부여 고시 |



